Multiplying and Dividing Fractions Practice Tests:
Try our interactive practice tests on multiplying and dividing fractions, with instant answer checks and clear explanations to make learning easier and more effective.
✖️ Fractions — Multiplication
➗ Fractions — Division
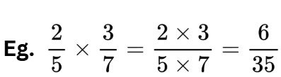
How to Multiply Fractions?
Step 1: Multiply the numerators together.
Step 2: Multiply the denominators together.
Step 3: Simplify the fraction.

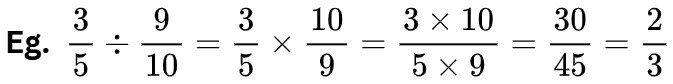
How to Divide Fractions?
Step 1: Keep the first fraction as it is.
Step 2: Flip (find the reciprocal of) the second fraction.
Step 3: Multiply as usual.

Why Do We Flip the Second Fraction?
This is the part that students often question. Think of division as asking “how many times does this fit into that?” If you have 3/4 of a metre of ribbon and each piece you need is 2/5 of a metre, the problem is essentially: how many 2/5s are there in 3/4? Flipping 2/5 to 5/2 makes the problem a multiplication, which gives the answer directly.
Simplifying Fractions After Multiplication or Division
Simplification is a key expectation in exams. Take 12/20 as an answer: this must be simplified to 3/5. There is emphasise on prime factorisation and highest common factors as the method for simplification. This not only reduces errors but also shows a clear understanding.
Multiplying and Dividing Fractions with Whole Numbers
When a whole number is involved, it can be written as a fraction over 1. For instance, 5/6 × 3 = 5/6 × 3/1 = 15/6, which simplifies to 5/2 or 2½. Imagine a student in Sydney buying 3 cartons of juice, each containing 5/6 of a litre. The total juice is 2½ litres. This is exactly how multiplying fractions with whole numbers plays out in real life.
Multiplying and Dividing Improper Fractions
Improper fractions, where the numerator is larger than the denominator, are often easier to work with than mixed numbers. For instance, 1 2/3 × 3/4 can be converted into 5/3 × 3/4 = 15/12 = 5/4. Students should be encouraged to convert mixed numbers into improper fractions first, do the operation, and then if needed, convert back to a mixed number.
Word Problems with Multiplying and Dividing Fractions
Word problems bring fractions to life. A Sydney example: three friends share 3/4 of a chocolate cake equally. Each gets 3/4 ÷ 3 = 1/4. Another example: if a builder uses 2/3 of a tonne of sand for each section of a driveway and there are 5 sections, he needs 2/3 × 5 = 10/3 tonnes in total. Such applications make the abstract rules meaningful.
Real-Life Applications of Multiplying and Dividing Fractions
Fractions are everywhere in Sydney life. In cooking, recipes often ask for half or double portions. In finance, families split bills into halves or quarters, such as dividing picnic contributions among friends. Builders and designers use fractional measurements daily, whether for cutting timber, mixing cement, or measuring fabric. Even in sport, dividing playing time into fractions of a match involves the same principles. For students, seeing these applications bridges the gap between classroom maths and practical living.
Common Mistakes Students Make
The most common mistake in Sydney classrooms is forgetting to flip the second fraction when dividing. Another is confusing the process with addition or subtraction, where denominators must be the same. Some students also stop midway and forget to simplify the final answer. For example, giving 15/30 instead of simplifying it to 1/2 can cost marks in exams, even though the reasoning was correct.
Conclusion
Mastering how to multiply and divide fractions is not just a classroom exercise; it is a skill that Sydney students will use throughout their lives. From preparing food to managing budgets, from playing sports to sitting important exams, fractions come up in countless scenarios. By following the simple rules of multiplication and division, avoiding common mistakes, and practising with real-life word problems, students can turn what once felt like a weakness into a strength. At Aussie Math Tutor NSW in Parramatta, we specialise in guiding students step by step, ensuring that every child feels confident when facing fractions in exams or in life.



